有機合成化学分科
関連リンク:有機合成化学研究室のホームページ
グラフェン・カーボンナノチューブ・フラーレンに代表されるナノカーボンは,次世代の機能性材料として注目を集めている。また,ナノカーボンの任意の炭素をヘテロ元素(ホウ素,窒素,リンなど)に置換した含ヘテロナノカーボンは,理論計算により特異な物性を有することが予測されている。しかし,その合成は,小分子を前駆体として用いた化学気相成長法や,ナノカーボンと小分子との熱アニーリングによるものが主であり,ヘテロ原子の導入位置や導入数の制御が困難であるため,混合物による表層的な材料化学研究に留まっている。このような背景から,本研究室では,含ヘテロナノカーボンの精密合成と,それを通じた学術分野としての深化を目標に据えて研究を進めている。
タンデムヘテロFriedel-Crafts反応の開発と巨大な含ヘテロπ共役系の構築
含ヘテロπ共役化合物は,優れた光学特性や電気化学特性を示すことから,広く研究されてきたが,汎用性に優れた合成手法が少ないために,ヘテロ元素の導入位置に大きな制限があった。これに対し我々は,「タンデムヘテロFriedel-Crafts反応」を開発することで,ヘテロ元素を導入しながら多環式骨格を一挙に構築するという新たな方法論を確立した。本反応を分子内・分子間で連続的に進行させることで,巨大なπ共役系を有するヘテロナノグラフェンやヘテロヘリセンのone-shot合成も可能となる。これらは,新たな有機エレクトロニクス材料としてのみならず,含ヘテロナノカーボンの合成中間体としても有用である。
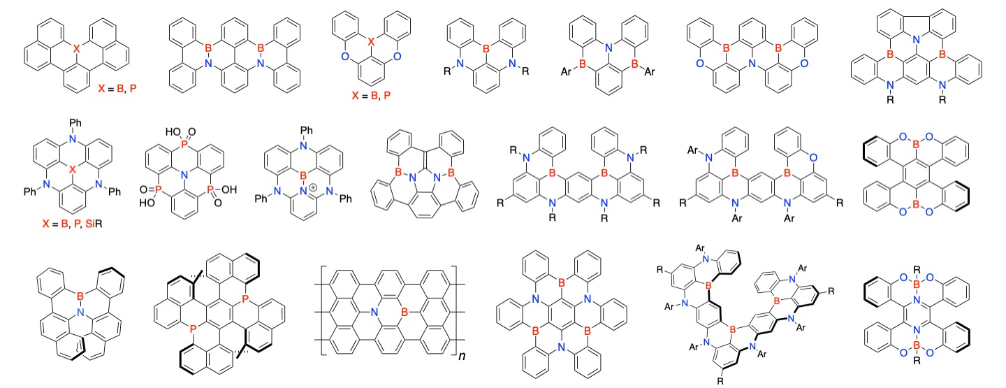
多重共鳴効果を鍵とした狭帯域発光材料の開発
有機発光材料のフロンティア軌道は主として原子間に存在するためS1–S0遷移には結合の伸縮が伴う。その結果,発光スペクトルは伸縮振動との振電相互作用に応じたエネルギー幅を持つことになる。例えば,ピレンなどの多環芳香族化合物は,高い蛍光量子収率を示すために有機ELの青色発光材料として用いられてきたが,剛直な分子骨格にも関わらず,半値幅40 nm前後の幅広な発光スペクトルを示す。これをディスプレイ光源として用いる場合,純粋な青色を得るために不必要な色をカラーフィルターや光学干渉で除去する必要があるが,電力効率や輝度の大幅な低下を伴うという問題がある。これに対し我々は,ベンゼン環上の1,2位にホウ素と窒素を導入し,その「多重共鳴効果」によりHOMOとLUMOを隣接する炭素に交互に局在化させることで,伸縮振動との振電相互作用の完全な抑制に成功した。この設計指針の下で開発した「DABNA」の誘導体は,半値幅25–30 nmの狭帯域青色発光を示すことに加えて,100%近い蛍光量子収率と安定性を兼ね備えていることから,多くのスマートフォンや有機ELテレビに実用されている。更に,無機発光材料を凌駕する超狭帯域発光(半値幅14–18 nm)を示す「ν-DABNA」の開発にも成功した。本材料は,優れた熱活性化遅延蛍光(TADF)特性を有しており,DABNA誘導体を用いた実用素子の2~3倍のエネルギー変換効率も可能となる。
(最終更新日:2022年04月28日)
